2018國考浙江職位報名分析_截止11月4日共有52個職位無人通過審核
中公網校推薦課程:2018國考新大綱課程 提速提效新升級!!!趕緊報名吧!!!
點擊查看:2018年國家公務員考試招考信息匯總
相關推薦:特別推薦:及時查看國考每日報名數據匯總
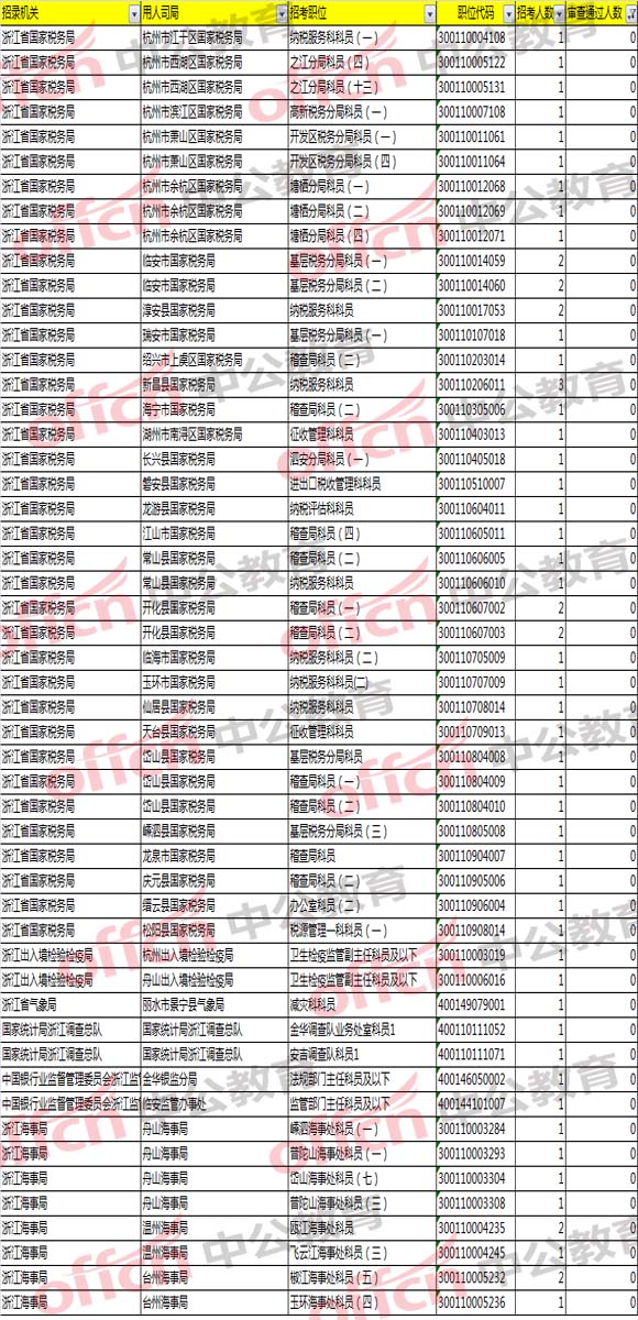
今天是2018國家公務員考試報名第6天,據中公網校統計,截至11月4日16:00,工作地點在浙江的職位共有52個無人報考,占全部職位的7.16%。下面是無人報考職位一覽表,中公教育專家建議廣大考生多關注一些較冷職位,避免激烈競爭,結合自身條件,找到屬于自己的職位:

▲52個無人報考職位
關注中公網校微信eduoffcncom,政策問題實時答,考試信息不漏看 。
(責任編輯:李明)
- 2026國考準考證打印下載入口:http://gwy.cpta.com.cn/
- 2026中央機關及其直屬機構考試錄用公務員筆試(紅河考區)溫馨提示
- 2026年國考官網準考證打印入口今日開通
- 2026年國考官網準考證打印入口11月24日開通
- 2026年中央機關及其直屬機構考試錄用公務員(湖北考區)筆試溫馨提示
- 公務員準考證打印入口官網國考http://gwy.cpta.com.cn
- 國家公務員準考證打印入口官網http://gwy.cpta.com.cn
- 2026年中央機關及其直屬機構考試錄用公務員筆試(紅河考區)溫馨提示
- 北京考區2026國考公務員筆試準考證打印提示
- 國考公務員準考證打印入口官網http://gwy.cpta.com.cn

